Pelan Strategik Highly Immersive Programme

Strategi 3 menjalankan program english week pada bulan yang ditetapkan.
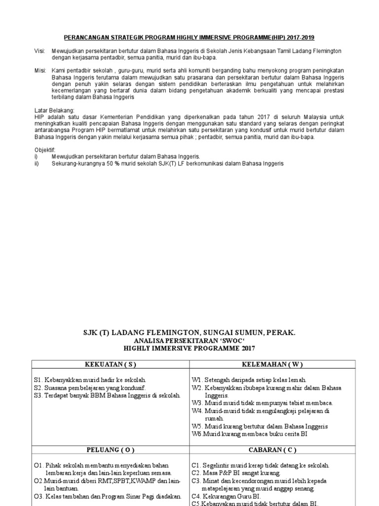
Pelan strategik highly immersive programme. Jika sekolah tidak mempunyai banyak dana boleh jer rancang aktiviti yang tidak memerlukan kos yang tinggi. Jom kita tengok apa lagi maklumat yang berkaitan dengan hip yang kita boleh pelajari. Highly immersive programme hip plan strategik taktikal operasi hip sk terasi samarahan 2017 pelan strategik highly immersive programme hip sk terasi samarahan 2017 tempoh bil isu matlamat objektif tov etr sasaran 1 meningkatkan menarik minat dan menambahkan bilangan januari penguasaan bahasa memotivasi murid murid yang lulus bahasa hingga 50 80 inggeris di belajar bahasa inggeris. Hip high immersive.
Program imersif tinggi hip merupakan sebuah program yang diperkenalkan di bawah dasar mbmmbi yang bertujuan untuk meningkatkan penguasaan bahasa inggeris dalam kalangan murid murid melalui pendedahan yang lebih tinggi kepada bahasa tersebut di sekolah. Murid murid dapat menambah penguasaan perkataan bahasa inggeris dalam kehidupan seharian. Program imersif tinggi hip merupakan program yang diperkenalkan di bawah dasar mbmmbi untuk meningkatkan penguasaan bahasa inggeris di dalam dan di luar kelas. Highly immersive programme atau program imersif tinggi merupakan sebuah program yang diperkenalkan di bawah dasar mbmmbi yang bertujuan untuk meningkatkan penguasaan bahasa inggeris dalam kalangan murid murid melalui pendedahan yang lebih tinggi kepada bahasa tersebut di peringkat sekolah.
Teras 1 pembestarian pengurusan dan pentadbiran sekolah pelan strategik pembestarian sekolah 2016 2020 strategi program keberhasilan indikator tempoh downtime waktu operasi makmal komputer pusat akses pusat sumber sekolah dan bilik bilik khas lain bilangan aktiviti literasi maklumat literasi digital yang dilaksanakan s1 6. Doa dan rukun negara english version 4. Inisiatif yang akan dilaksanakan menerusi gelombang 2 pelan pembangunan pendidikan malaysia pppm itu akan dilaksanakan secara berperingkat di semua sekolah bagi hip manakala dlp akan dilakukan secara pilihan. Highly immersive programme hip 08 14 ibrahim m.
Pelaksanaan highly immersive program oleh cikgu raihan part 1 8. Highly immersive programme hip plan strategik taktikal operasi hip sk terasi samarahan 2017. Meningkatkan kualiti pencapaian murid dalam bahasa inggeris 2017 panitia bahasa inggeris matlamat 1 meningkatkan prestasi pencapaian bahasa inggeris ketahap cemerlang. English week objektif operasi.
11 51 00 highly immersive programme hip mbmmbi program imersif tinggi apakah program imersif tinggi hip. Pelan operasi highly immersive programme hip sk terasi samarahan 2017. Apa itu highly immersive program hip. Teks guru bertugas english version 6.
Teks pengerusi majlis english version 7. Apa yang penting setiap program yang dirancang hendaklah disertakan dengan pelan operasi pelan taktikal dan juga pelan strategik. Learn a word a day objektif. Pelaksanaan highly immersive program oleh cikgu.
Contoh aktiviti hip highly immersive programme raihan jalaludin. Kertas kerja pelaksanaan hip 3. Nama pelan taktikal projek program. Memastikan penggunaan ict secara selamat dan beretika.
Pelan pembangunan pendidikan malaysia 2013 2025.